
激素类除草剂是一大类除草剂的统称,这类除草剂在使用方面表现为速效,强效。其不仅具有除草的功效,还因为其具有调节、促进植物生理机能的功效……
激素类除草剂的结构与 IAA(吲哚乙酸)近似,根据分子结构中的羧酸位置及芳基或杂环结构不同,激素类除草剂可分为苯氧羧酸类、 苯甲酸类、吡啶羧酸类及喹啉羧酸类等 4 类:

(吲哚乙酸结构式)
激素类除草剂从2,4-D成功开发以来,已经经历了60多年的发展。激素类除草剂主要用作进行茎叶处理,防治一年生与多年生阔叶杂草。进行土壤处理时,对于一年生禾本科杂草及种子繁殖的多年生杂草幼芽也有一定的防治作用,但对成株禾本科杂草无作用。将其盐或酯喷洒于杂草叶片后,植物将其转变为相应的酸而产生毒害作用。在土壤中易通过土壤微生物进行降解,在温暖而湿润条件下,在土壤中的持效期1~4周,而在冷凉、干燥的气候条件下, 持效期较长,使用可达1~2个月。此类除草剂对人、畜毒性很低,在正常条件下比较安全。
激素类除草剂与吲哚乙酸(IAA)一样, 均是控制植物的生长与发育过程,影响调节植物基因的表达。它活化敏感植物内的代谢过程,导致乙烯积累,从而造成异常症状,如茎弯曲、组织肿胀、叶片杯状、生长与光合作用受抑制。杂草对激素类除草剂产生抗性的过程非常缓慢。
激素类除草剂一直是我国国际贸易中的重要品类,其中2,4-滴系列产品稳居全国除草剂出口量的前十。


2,4-滴异辛酯
1942年2,4-D除草活性的发现揭开了有机选择性除草剂发展的新纪元,它的成功开发与应用引起了农业与杂草防治的革命,被誉为20世纪农业中的重大成就之一,而90%以上的近代杂草防治技术都是从发现2,4-D之后开始制定并逐步完善的。
2,4-D是2,4-二氯苯氧乙酸的简称,是一种人工合成的植物激素类物质。但不能直接用在生产中。为了使用方便,一般把它和其它化合物反应,生成相应的盐(如2,4-D钠盐、2,4-D二甲胺盐)或者酯。
农业生产中往往使用长侧链、高分子量、低挥发性酯类,如2,4-D异辛酯。用于取代2,4-D丁酯,异辛酯在使用过程中挥发性低、不易伤害附近敏感作物,而且其生物活性也比2,4-D丁酯要高,因而除草效果更好。

(2,4-D异辛酯化学式)
2,4-滴影响调节植物基因的表达。活化敏感植物内的代谢过程,导致乙烯积累,从而造成异常症状,在0.01%浓度时,即可造成植物生长与光合作用受抑制,进而植株死亡。
2,4-D 异辛酯是选择性苗后茎叶处理触杀型除草剂。适用作物为大豆、玉米、小麦。防除对象:小蓟、苣荬菜、鸭跖草、藜、蓼、龙葵、苘麻、离子草、繁缕、苋菜、苍耳、田旋花等一年生或多年生阔叶杂草。
防治小麦田阔叶杂草,用50%乳油66~88ml/亩,对水30~40kg茎叶喷雾;防治玉米田阔叶杂草,播后苗前用50%乳油86~122ml/亩,对水30~40kg进行土壤喷雾;防治大豆田杂草,播后苗前用50%乳油76~90ml/亩,对水30~40kg进行土壤喷雾。喷药时应远离大豆、蔬菜、树木及双子叶植物50m以上。
合成工艺:
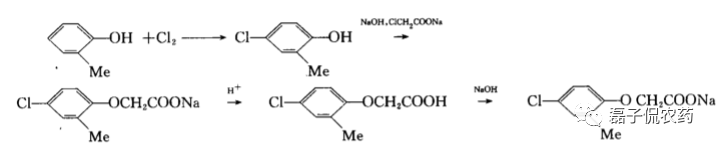
2,4-滴的主要合成方法是威廉姆森醚化工艺。该工艺路线又分为先氯化后醚化、先醚化后氯化2条合成路线。先氯化后醚化合成工艺技术成熟,产品质量稳定。但这条工艺路线易产生氯代苯酚等副产物,在高温等反应中会导致二恶英等剧毒物质产生,而且合成过程“三废”产量大、难处理,已逐渐被先醚化后氯化工艺替代。
苯氧乙酸在溶剂中溶解后,与通入的氯气进行取代氯化反应,通过反应温度、氯气通入量控制反应过程,到反应终点后,对生成的2,4-滴浆料进行离心、洗涤、烘干操作,得到产品。

出口情况
除中国外,印度也是2,4-滴的重要出口国。中国的2,4-滴系列产品主要销售目的地是东南亚,南美和东欧。泰国,印度尼西亚,多米尼加,尼加拉瓜,哥伦比亚,尼日利亚,乌克兰等国都是重要的2,4-D出口目的国。
二甲四氯
1946年开发了二甲四氯除草剂,标志着有机合成的第一类除草剂-苯氧羧酸类除草剂类的诞生。2甲4氯二甲基胺盐在我国最早为英国公司登记,商品名为:百阔净。该品在2001年获得农药登记证。
二甲四氯为苯氧乙酸类选择性内吸传导激素型除草剂,可以破坏双子叶植物的输导组织,使生长发育受到干扰,茎叶扭曲,茎基部膨大变粗或者开裂。
化学品名为,2-甲-4-氯:2-甲基-4-氯苯氧乙酸。

(二甲四氯结构式)
二甲四氯的挥发性、作用速度比2,4-D低且慢,二甲四氯对禾本科植物的幼苗期很敏感,3-4叶期后抗性逐渐增强,分蘖末期最强,而幼穗分化期敏感性又上升。在气温低于低于18℃时效果明显变差,对未出土的杂草效果不好。通常用量每亩30~60克(有效成分)。不能用于双子叶作物。使用时应严格控制使用时期和用量,极易产生药害。
二甲四氯被广泛用于小麦田、玉米田、水稻田、城市草坪、麻类作物防除一年生或多年生阔叶杂草和部分莎草;常与草甘膦混用防除抗性杂草,加快杀草速度作用明显。
二甲四氯和2,4-滴类似,一般生成盐或酯来加工制剂,常见的有:2甲4氯二甲胺盐、2甲4氯异辛酯、2甲4氯钠、2甲4氯硫代乙酯、2甲4氯乙硫酯、2甲4氯异丙胺盐、2甲4氯丁酸乙酯,市场常见品种多以单剂和混剂形式出现,其中二甲四氯钠单剂以56%可溶粉剂和13%、20%水剂居多。
合成工艺:
由邻甲酚先制成邻甲酚钠与氯乙酸钠缩合生成2-甲基苯氧乙酸钠,再酸化通氯生成2甲4氯苯氧乙酸,分去废水后加碱和水配制成相应水剂产品。

出口情况
我国出口的二甲四氯原药占比40%左右,制剂占比60% 左右(2018年)。主要出口目的国家有巴基斯坦,新西兰,澳大利亚,菲律宾,印度,厄瓜多尔等国。
麦草畏
麦草畏(),中文化学名为3,6-二 氯-2-甲氧基苯甲酸,又称百草敌(),是苯甲酸类化合物,属安息香酸系列除草剂,作用机理属于激素型除草剂,杂草中毒症状与生长素物质的作用症状相似。
由美国维尔斯科尔化学公司1995年开发。在室温条件下它能抗氧化并不易分解 , 在碱、酸中稳定,大约℃时分解。其内吸作用强,对阔叶杂草有较高的杀草选择性,而持效期长, 被广泛用于小麦、玉米、谷子、高粱等作物田防除杂草。麦草畏在施入土壤后在内即被微生物分解, 对环境无害。

(麦草畏化学式)
麦草畏主要用于小麦、玉米等作物田,防除多种一年生、越年生和多年生阔叶杂草,如藜、苋、猪殃殃、牛繁缕、荠菜、问荆、蓼、猪毛菜、刺儿菜、田旋花、独行菜、鸭跖草、野大豆、大巢菜及鳢肠等。麦草畏可与其他除草剂(如二甲四氯)混配使用,不仅可扩大杀草谱,而且可以减少用量,提高对麦苗的安全性。
麦草畏具有激素活性易被植物茎叶及根系吸收,在植物体内可以通过韧皮部和木质部上下行传导,多积累在活跃的分生组织及代谢活动旺盛的部位,阻碍植物体内激素的正常活动,引起茎叶和根的畸形,细胞分裂、伸长和分化不规律,破坏核酸代谢,从而使敏感植物枯死。麦草畏具有选择除草活性。
麦田除草:在冬小麦4叶期至拔节期前,每亩用48%水剂20~30毫升,对水30~40公斤,对杂草茎叶喷雾。
玉米田除草:玉米4~6叶期,每亩用48%水剂25~40毫升,对水30~40公斤,对杂草茎叶喷雾。
使用注意事项:用药时期是安全使用麦草畏的关键,在小麦4叶期前和拔节后以及冬眠期;在玉米生长后期,即雄花抽出前15天,应严格禁止使用,以免产生药害。用药后,初期小麦、玉米苗有匍匐、倾斜或弯曲现象,一般经1周后即可恢复,不影响作物生长和产量。
合成工艺
常见合成方法是其以1,2,4一三氯苯为起始原料 , 经过水解,羧化,醚化反应制得。

出口情况
我国每年麦草畏的出口量为7000吨-8000吨,包括原药和制剂。美国是最大的出口目的国,占到81.2%,其次是阿根廷(比例达 8.1%)。另外德国和澳大利亚也是重要的进口国。
二氯喹啉酸
二氯喹啉酸,化学名称:3,7-二氯-8-喹啉羧酸。其他名称快杀稗、杀稗净等。二氯喹啉酸是防除稻田稗草的特效选择性除草剂,属激素型喹啉羧酸类除草剂,杂草中毒症状与生长素类作用相似,主要用于防治稗草且适用期很长,1-7叶期均有效。水稻安全性好。

(二氯喹啉酸结构式)
二氯喹啉酸是80年代德国巴斯夫公司研究开发的除草剂新品种。主要用于水稻秧田、直播田和移栽田特效杀除稗草.可杀死1-7 叶期的稗草,对4-7叶期的高龄稗草药效突出,还能有效地防除鸭舌草、水芹、田皂角,但对莎草科杂草效果差.
二氯喹啉酸主要通过稗草根吸收,也能被发芽的种子吸收,少量通过叶部吸收,在稗草体内传导.稗草中毒症状与生长素物质的作用症状相似,具有激素型除草剂的特点和用药期长,对2叶期以后的水稻安全性高的特点.
水稻移载后,当稗草2.5-3.5叶期施用.在温暖地区用药量250-500克/公顷,在寒冷地区用药量为400-800克/公顷,进行喷雾,用药前一天将田水排干,保持湿润,用药后1-2天内放水回田,保持3-5厘米水层5-7天,以后恢复正常管理.直播田和秧田由于水稻2叶期以前对二氯喹啉酸比较敏感,在秧田和直播田中使用应在秧苗2.5叶期以后,用药量、使用方法和田间管理与移栽田相同。
注意事项:茄科、伞形花科、锦葵科、豆科、菊科、旋花科对二氯喹啉酸敏感,应避免接触.二氯喹啉酸在土壤中有积累作用,施用二氯喹啉酸的田里下一年不能种植甜菜、茄子、烟草、番茄、胡萝卜等,两年后方可种植.
合成工艺:

以 3-氯-2甲基苯胺和甘油为主要原料, 通过闭环,氯化,氧化三步反应得到产品。
出口情况
我国二氯喹啉酸原药,制剂均有出口,需要注意的是制剂常常以磺酰胺类除草剂复配的剂型出口。主要出口目的地为东南亚诸国:泰国,印度尼西亚,越南,马来西亚等国。